汤旺县人民政府
政府信息公开
适老版
无障碍
当前位置:
首页
>
政府信息公开
>
法定主动公开内容
>
其他政府信息
>
涉农补贴
索 引 号:
发文机关:
成文日期:
发文字号:
发布日期:
时 效:
名 称:
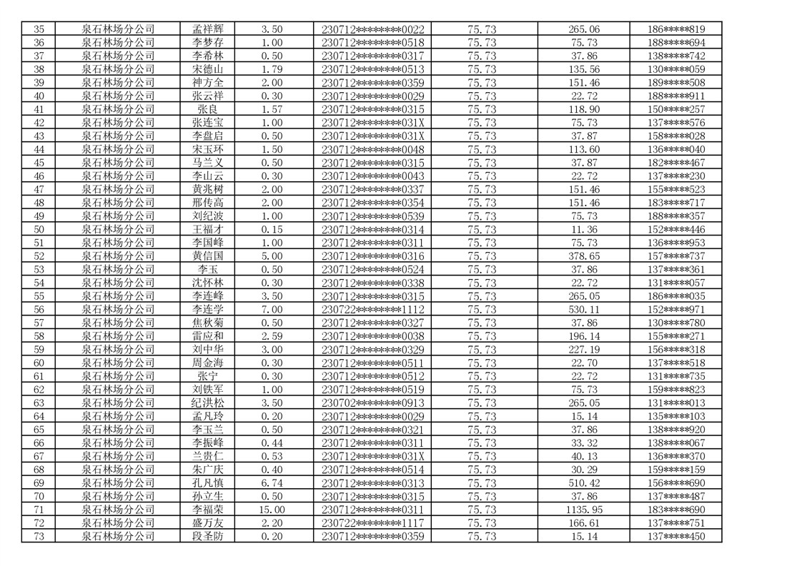
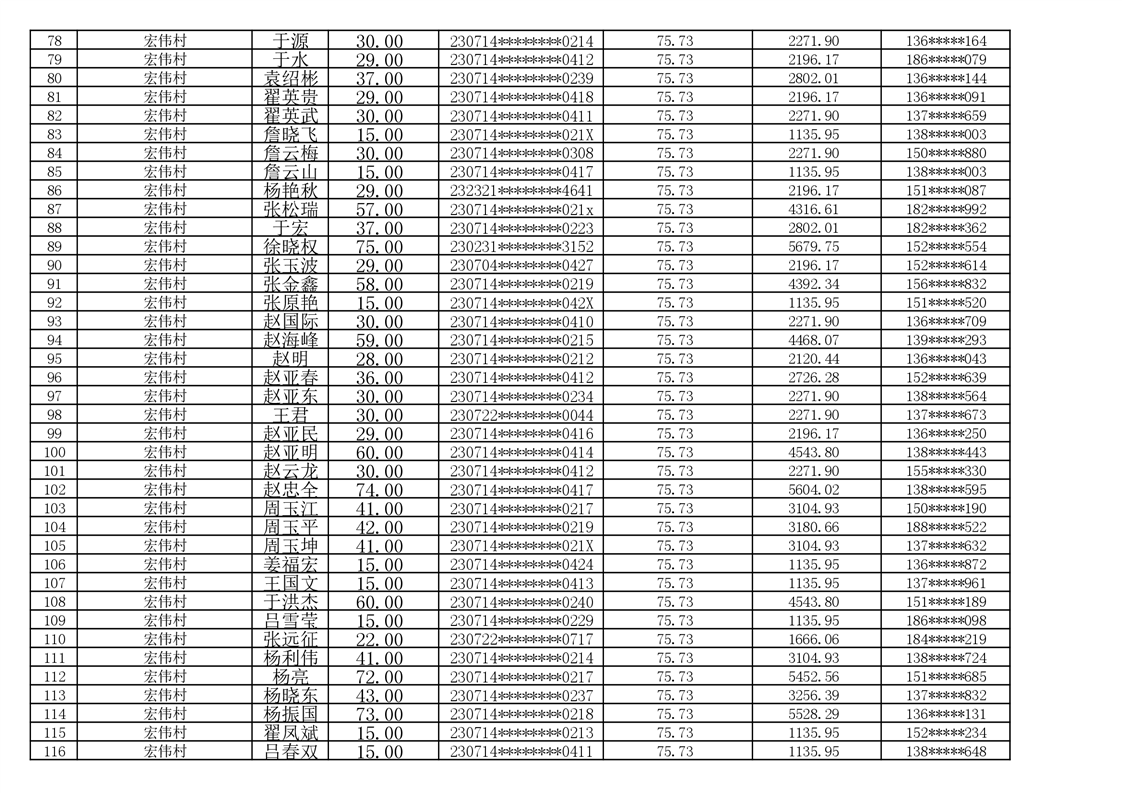
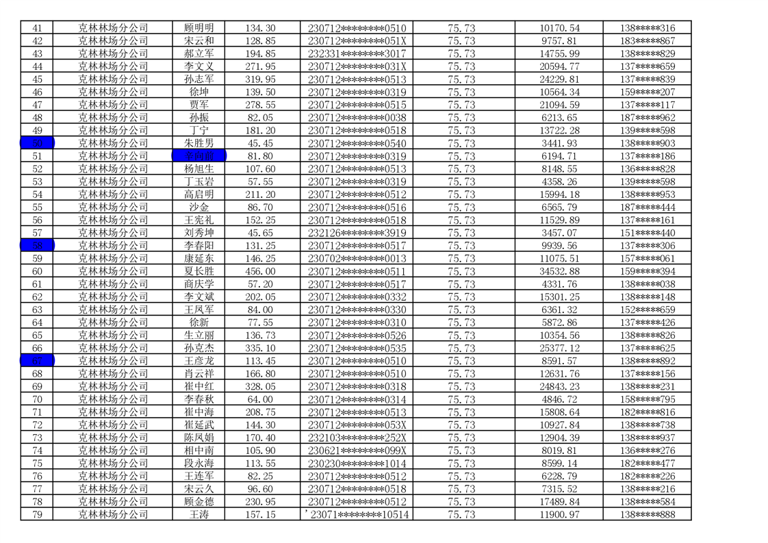
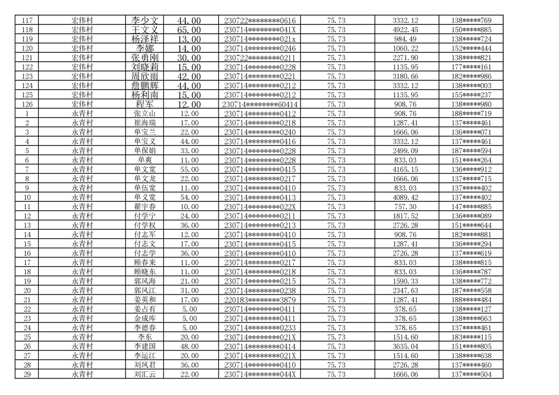
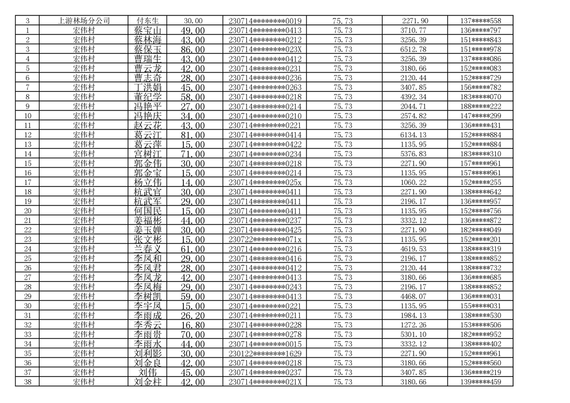
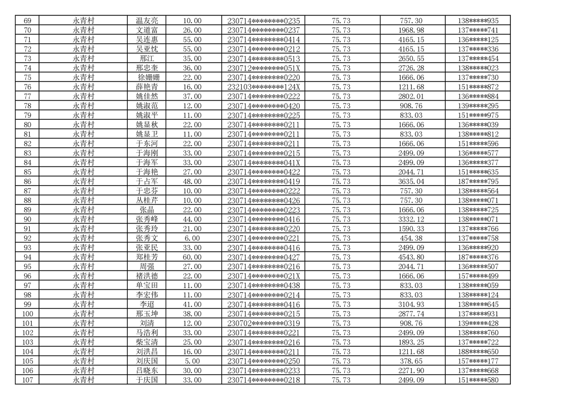
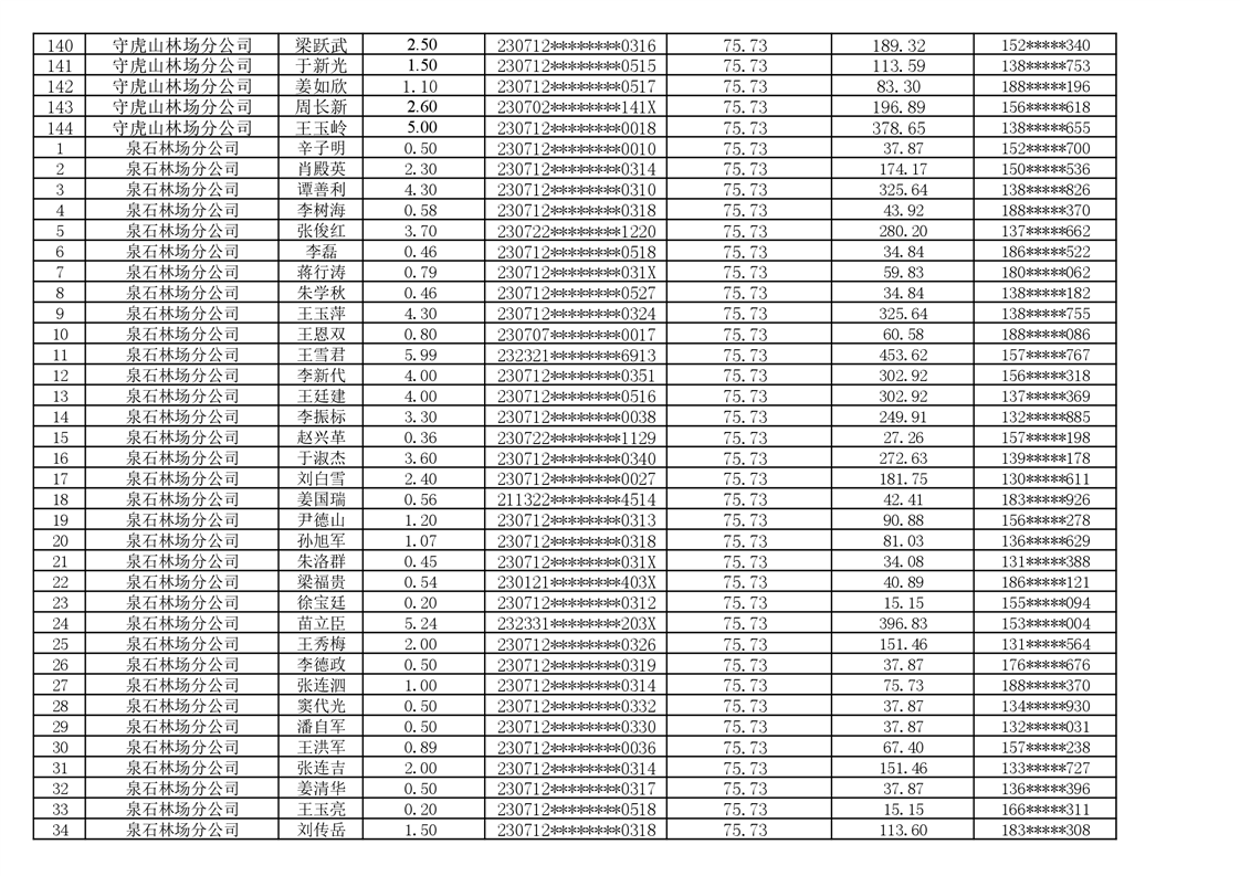
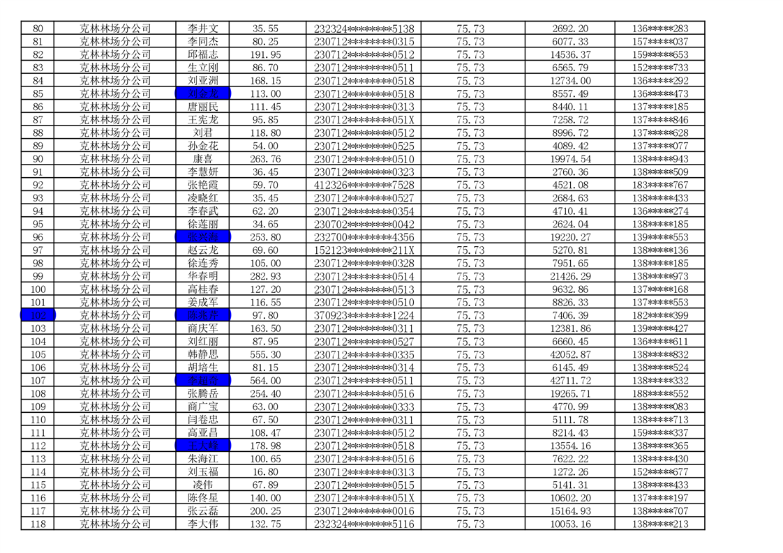
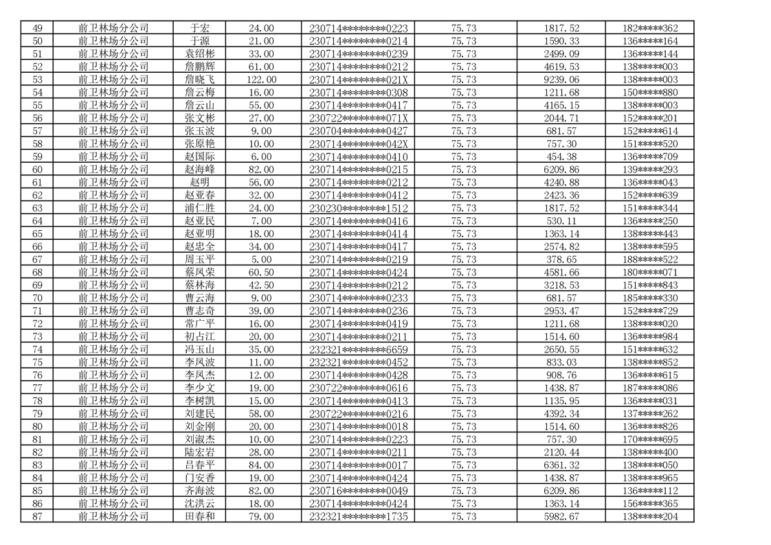
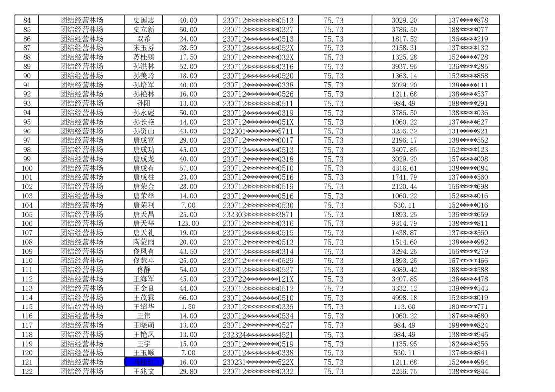
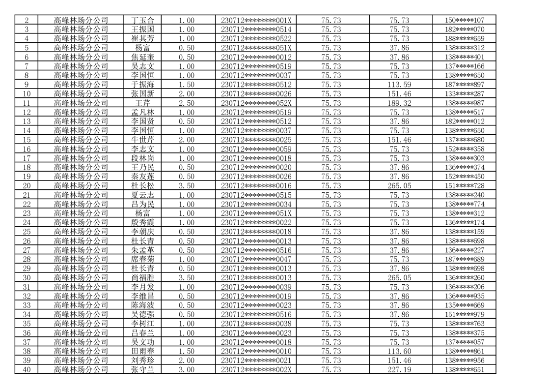
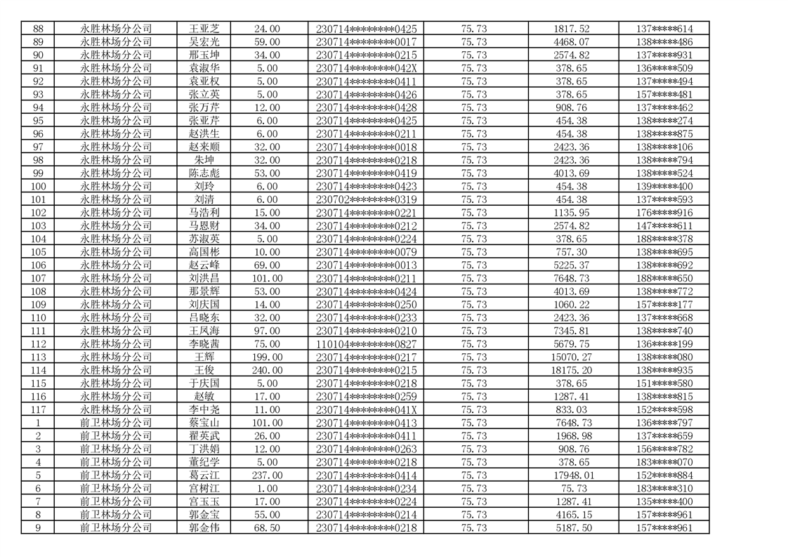
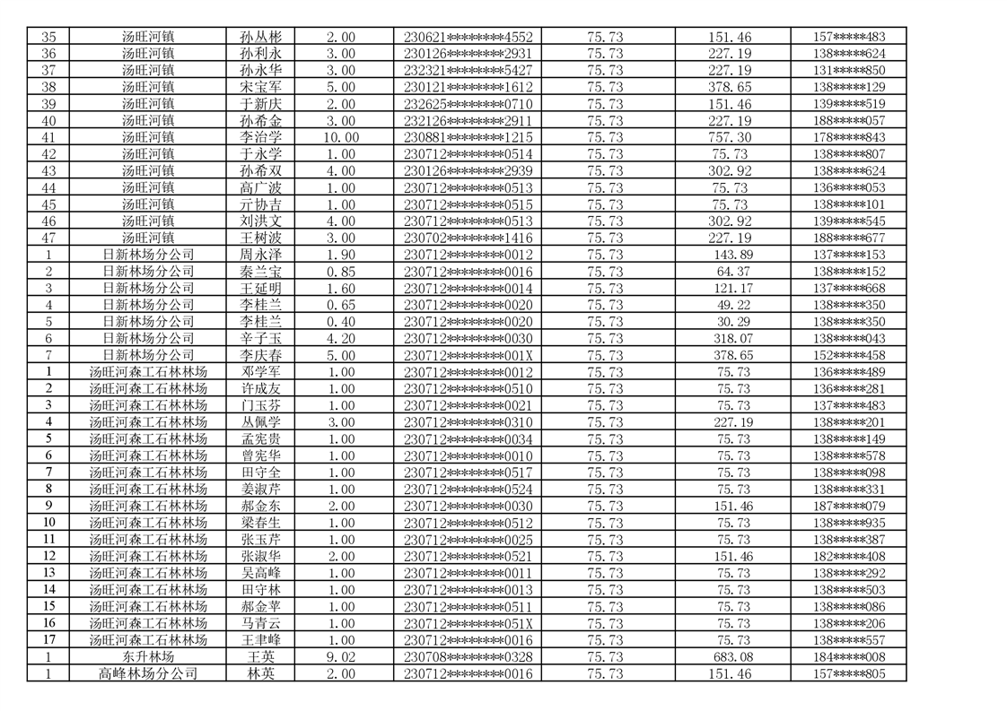
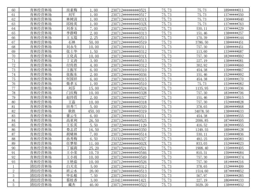
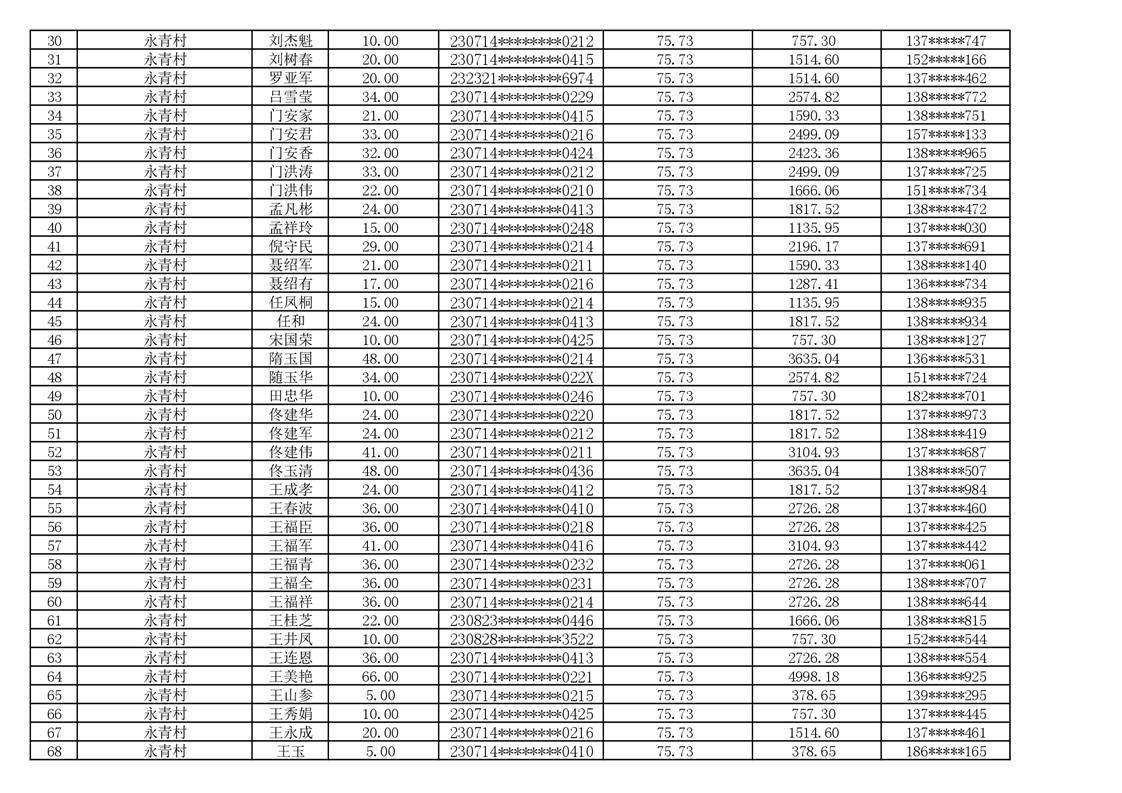
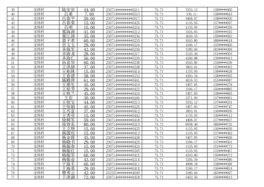
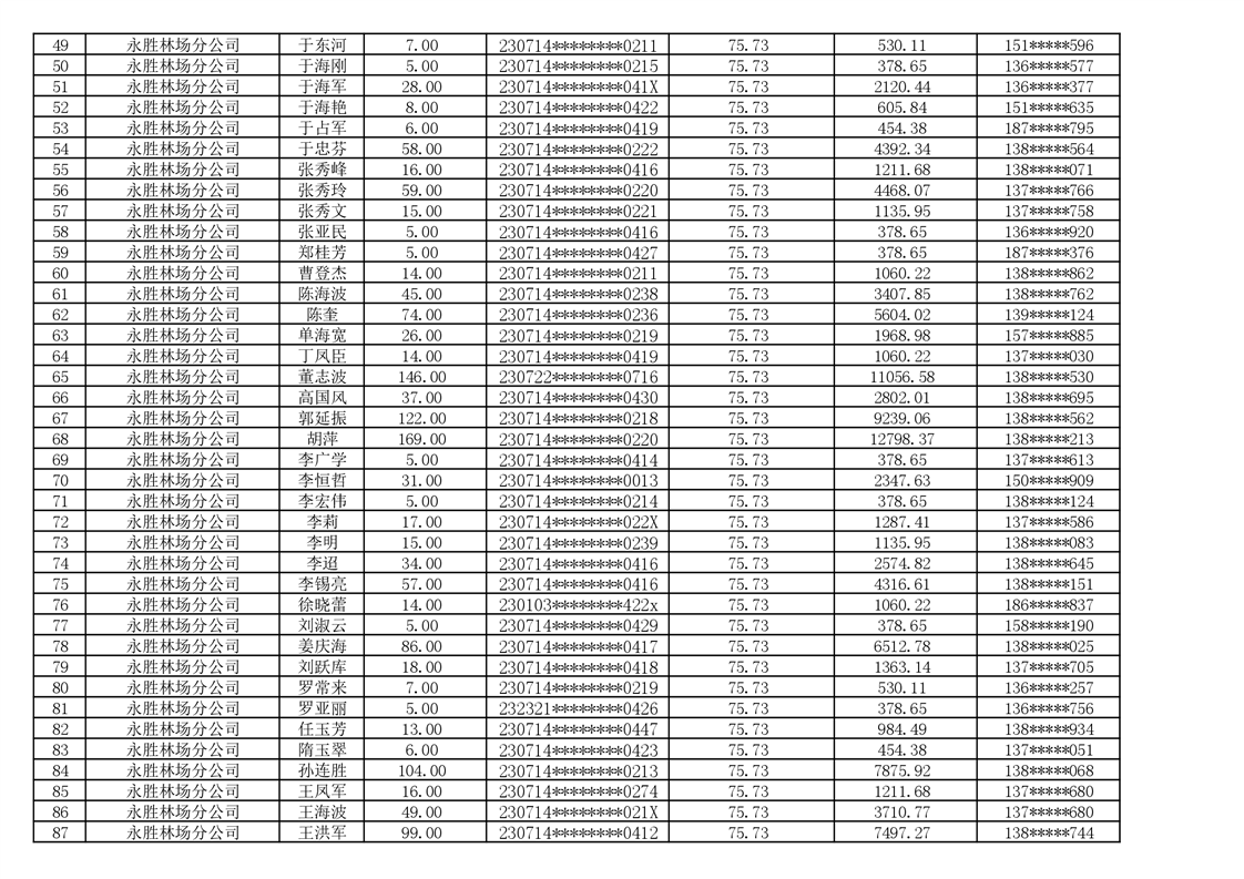
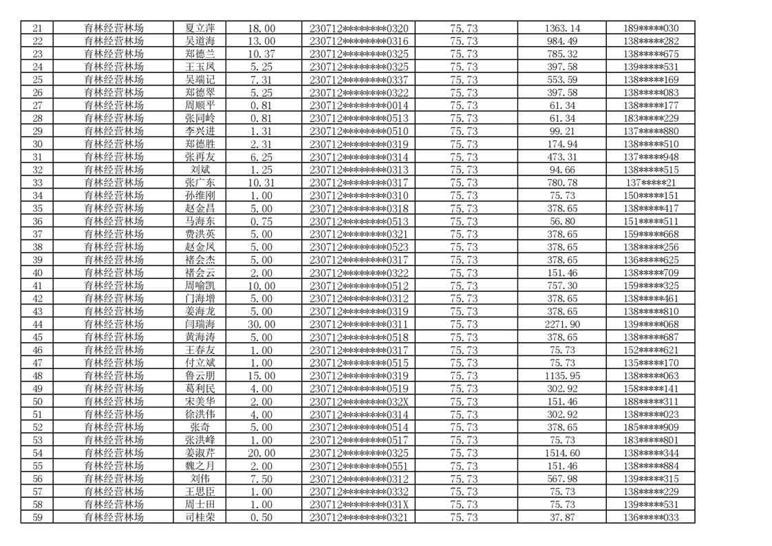
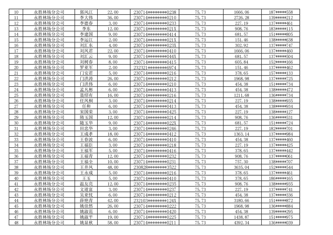
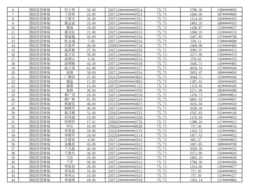
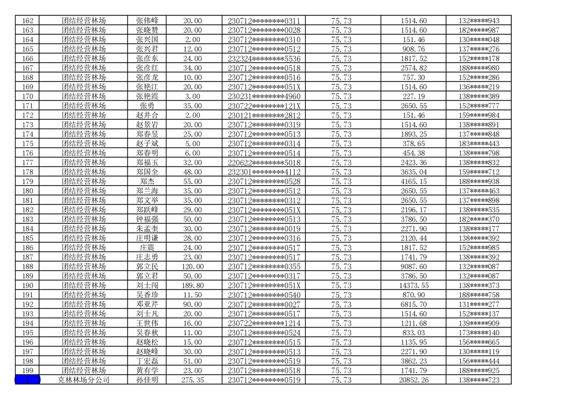
2026年耕地地力保护补贴人员发放公示明细表
2026年耕地地力保护补贴人员发放公示明细表
发布时间:
2026-03-20 17:28
来源:
汤旺县农业农村局
访问量:
【
字体:
大
中
小
】
分享到:
TOP
打印
关闭
扫一扫在手机打开当前页